応用情報技術者 2013年 秋期 午前2 問49
問題文
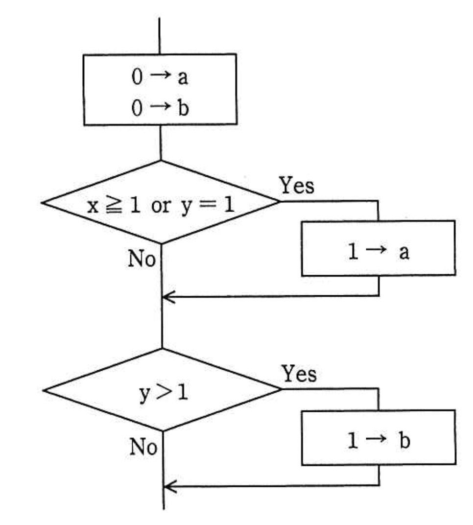
流れ図において、分岐網羅を満たし、かつ、条件網羅を満たすテストデータの組はどれか。


選択肢
ア:
イ:
ウ:
エ:(正解)
流れ図における分岐網羅と条件網羅を満たすテストデータの選択【午前2 解説】
要点まとめ
- 結論:選択肢エのテストデータが分岐網羅と条件網羅の両方を満たす最適な組み合わせです。
- 根拠:分岐網羅は全ての分岐(Yes/No)を通ること、条件網羅は条件式の真偽をそれぞれ網羅することが必要です。
- 差がつくポイントは、条件式「x ≥ 1 or y = 1」と「y > 1」の両方の真偽を漏れなくテストできているかどうかです。
正解の理由
選択肢エは以下の理由で正解です。
- 条件「x ≥ 1 or y = 1」の真(Yes)を (1,2) で、偽(No)を (0,1)、(0,2) でカバー。
- 条件「y > 1」の真(Yes)を (1,2)、(0,2) で、偽(No)を (0,1) でカバー。
- これにより、全ての分岐(Yes/No)と条件の真偽を網羅し、分岐網羅と条件網羅を同時に満たしています。
よくある誤解
条件網羅は単に条件の真偽をテストすればよいと誤解しがちですが、分岐網羅も同時に考慮しないと不十分です。
また、条件式が複合条件の場合、各条件の真偽を正しく分けてテストする必要があります。
また、条件式が複合条件の場合、各条件の真偽を正しく分けてテストする必要があります。
解法ステップ
- 流れ図の条件判断を確認し、条件式を理解する。
- 分岐網羅のために各条件判断のYes/Noの両方を通るテストデータを探す。
- 条件網羅のために条件式の各部分(x ≥ 1、y = 1、y > 1)の真偽を個別に網羅する。
- 各テストデータが条件の真偽と分岐をカバーしているかをチェック。
- 全ての条件と分岐を満たすテストデータの組み合わせを選択する。
選択肢別の誤答解説
- ア:条件「x ≥ 1 or y = 1」の偽をカバーしていないため条件網羅を満たさない。
- イ:条件「y > 1」の真をカバーできていないため分岐網羅が不十分。
- ウ:条件「y > 1」の偽をカバーしているが、「x ≥ 1 or y = 1」の偽を十分に網羅できていない。
- エ:全ての条件と分岐を網羅しており、正解。
補足コラム
分岐網羅はソフトウェアテストの基本的な網羅基準の一つで、全ての分岐点のYes/Noを通ることを要求します。
条件網羅は条件式の各部分の真偽を網羅するため、複合条件の場合は特に注意が必要です。
両者を満たすテスト設計は品質向上に不可欠です。
条件網羅は条件式の各部分の真偽を網羅するため、複合条件の場合は特に注意が必要です。
両者を満たすテスト設計は品質向上に不可欠です。
FAQ
Q: 分岐網羅と条件網羅の違いは何ですか?
A: 分岐網羅は分岐のYes/Noを通ること、条件網羅は条件式の各部分の真偽を網羅することです。
A: 分岐網羅は分岐のYes/Noを通ること、条件網羅は条件式の各部分の真偽を網羅することです。
Q: 複合条件の条件網羅はどうやって確認しますか?
A: 条件式の各部分を独立に真偽を変えるテストデータを用意し、全ての組み合わせを網羅します。
A: 条件式の各部分を独立に真偽を変えるテストデータを用意し、全ての組み合わせを網羅します。
関連キーワード: 分岐網羅、条件網羅、ソフトウェアテスト、テスト設計、複合条件

\ せっかくなら /
応用情報技術者を
クイズ形式で学習しませんか?
クイズ画面へ遷移する→
すぐに利用可能!

