応用情報技術者 2016年 秋期 午前2 問52
問題文
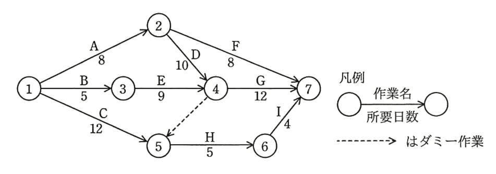
あるプロジェクトの作業が図のとおり計画されているとき、最短日数で終了するためには、作業 H はプロジェクトの開始から遅くとも何日後に開始しなければならないか。

選択肢
ア:12
イ:14
ウ:18
エ:21(正解)
プロジェクト作業の最短終了日数計算【午前2 解説】
要点まとめ
- 結論:作業Hは開始から遅くとも21日後に開始しなければプロジェクトの最短終了ができません。
- 根拠:クリティカルパスを特定し、最長経路の所要日数を算出してHの開始可能最遅時刻を求めます。
- 差がつくポイント:ダミー作業の役割理解と、複数経路の比較によるクリティカルパスの正確な特定が重要です。
正解の理由
作業Hはノード5から6へ5日かかり、その後ノード6から7へ4日かかります。
プロジェクトの最短終了日数はクリティカルパスの合計日数で決まるため、Hの開始可能最遅時刻はクリティカルパスの長さからHの所要日数を引いた値です。
図の経路を計算すると、最長経路は1→5→6→7で、所要日数は12(C)+5(H)+4(I)=21日。
したがって、Hは遅くとも開始から21日後に開始しなければなりません。
プロジェクトの最短終了日数はクリティカルパスの合計日数で決まるため、Hの開始可能最遅時刻はクリティカルパスの長さからHの所要日数を引いた値です。
図の経路を計算すると、最長経路は1→5→6→7で、所要日数は12(C)+5(H)+4(I)=21日。
したがって、Hは遅くとも開始から21日後に開始しなければなりません。
よくある誤解
ダミー作業を無視して経路を短く見積もったり、最短経路ではなく最長経路を正確に把握できないことが多いです。
解法ステップ
- 各作業の所要日数を確認し、ノード間の経路を整理する。
- ダミー作業を含めて全経路の合計所要日数を計算する。
- 最長経路(クリティカルパス)を特定する。
- クリティカルパスの合計日数から作業Hの所要日数を引き、Hの最遅開始時刻を求める。
- 選択肢と照合し、正解を決定する。
選択肢別の誤答解説
- ア: 12 — 作業Cの所要日数のみで、Hの開始時刻としては短すぎる。
- イ: 14 — 経路の一部のみを考慮し、クリティカルパス全体を反映していない。
- ウ: 18 — 1→5→6→7の合計日数21に満たず、Hの開始可能最遅時刻として不足。
- エ: 21 — 正解。クリティカルパスの合計日数に一致し、Hの開始時刻として妥当。
補足コラム
クリティカルパス法(CPM)はプロジェクト管理で最も重要な手法の一つです。
ダミー作業は依存関係を正確に表現するために用いられ、経路計算に影響します。
正確なクリティカルパスの特定は遅延防止とリソース配分に不可欠です。
ダミー作業は依存関係を正確に表現するために用いられ、経路計算に影響します。
正確なクリティカルパスの特定は遅延防止とリソース配分に不可欠です。
FAQ
Q: ダミー作業はなぜ必要ですか?
A: 作業間の依存関係を明確にし、正確なスケジュール計算を可能にするためです。
A: 作業間の依存関係を明確にし、正確なスケジュール計算を可能にするためです。
Q: クリティカルパスが複数ある場合はどうしますか?
A: 最長の経路すべてがクリティカルパスとなり、全てのパスの遅延がプロジェクト全体に影響します。
A: 最長の経路すべてがクリティカルパスとなり、全てのパスの遅延がプロジェクト全体に影響します。
関連キーワード: クリティカルパス法、プロジェクト管理、ダミー作業、スケジュール計算、作業開始時刻

\ せっかくなら /
応用情報技術者を
クイズ形式で学習しませんか?
クイズ画面へ遷移する→
すぐに利用可能!

