応用情報技術者 2021年 春期 午前2 問25
問題文
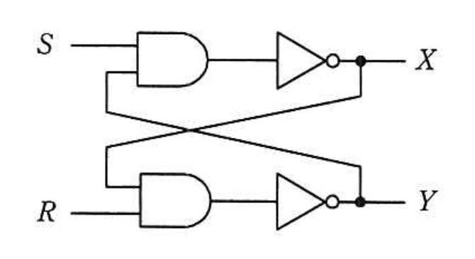
図の論理回路において、S=1, R=1, X = 0, Y =1のとき、Sを一旦0にした後、再び1に戻した。この操作を行った後のX, Yの値はどれか。

選択肢
ア:X=0, Y=0
イ:X=0, Y=1
ウ:X=1, Y=0(正解)
エ:X=1, Y=1
図の論理回路において、S=1, R=1, X=0, Y=1のとき、Sを一旦0にした後、再び1に戻した。この操作を行った後のX, Yの値はどれか【午前2 解説】
要点まとめ
- 結論:操作後の出力はX=1、Y=0となり、選択肢はウが正解です。
- 根拠:この回路はSRラッチの構成で、SとRの入力変化によりXとYが相互に反転しながら状態を保持します。
- 差がつくポイント:Sを0にしてから1に戻す操作で状態遷移を理解し、フィードバックの影響を正確に追えるかが鍵です。
正解の理由
この回路はSRラッチの基本形で、SとRが両方1の状態は「保持状態」として機能します。初期状態はX=0、Y=1です。
- Sを0にすると、上部ANDゲートの入力が0となりXの出力が変化します。
- その結果、Xが1に変わり、YはXの値に依存して0に変わります。
- Sを再び1に戻しても、X=1、Y=0の状態が保持されます。
したがって、操作後のX, YはX=1、Y=0となり、選択肢ウが正解です。
よくある誤解
- S=R=1の状態を「不定」や「禁止状態」と誤解しやすいですが、この回路では保持状態として正常に機能します。
- フィードバックの影響を無視して、単純にANDゲートの入力だけで判断すると誤答につながります。
解法ステップ
- 初期状態のX=0、Y=1を確認する。
- Sを0に変更し、上部ANDゲートの入力を評価する。
- フィードバックによりXの値が変化し、それに伴いYの値も変わることを理解する。
- Sを再び1に戻した後の状態を保持状態として確認する。
- 最終的なX, Yの値を選択肢と照合する。
選択肢別の誤答解説
- ア: X=0, Y=0
→ Y=0は正しいが、Xは変化して1になるため誤り。 - イ: X=0, Y=1
→ 初期状態のまま変化なしと誤認。Sの変化による状態遷移を見落としている。 - ウ: X=1, Y=0
→ 正解。Sの操作によりXが1、Yが0に変化し保持される。 - エ: X=1, Y=1
→ Y=1は初期状態のみで、Sの操作後はY=0になるため誤り。
補足コラム
SRラッチは基本的な記憶素子で、S(セット)とR(リセット)の入力により出力が決まります。
- S=1, R=0 → 出力X=1(セット状態)
- S=0, R=1 → 出力X=0(リセット状態)
- S=1, R=1 → 出力は保持状態(前の状態を維持)
この問題の回路はANDゲートとインバータを組み合わせたSRラッチの典型例で、フィードバックにより状態を記憶します。
FAQ
Q: なぜS=R=1の状態が禁止状態ではないのですか?
A: この回路はANDゲートとインバータの組み合わせで保持状態を実現しており、S=R=1は前の状態を維持する正常な状態です。
A: この回路はANDゲートとインバータの組み合わせで保持状態を実現しており、S=R=1は前の状態を維持する正常な状態です。
Q: フィードバック線が交差しているが接続されていないのはなぜですか?
A: 回路図上の線の交差は配線の重なりを示すだけで、接続点がない場合は信号が交わらず独立しています。
A: 回路図上の線の交差は配線の重なりを示すだけで、接続点がない場合は信号が交わらず独立しています。
関連キーワード: SRラッチ、フィードバック回路、論理回路、記憶素子、ANDゲート、インバータ

\ せっかくなら /
応用情報技術者を
クイズ形式で学習しませんか?
クイズ画面へ遷移する→
すぐに利用可能!

