応用情報技術者 2012年 春期 午前2 問51
問題文
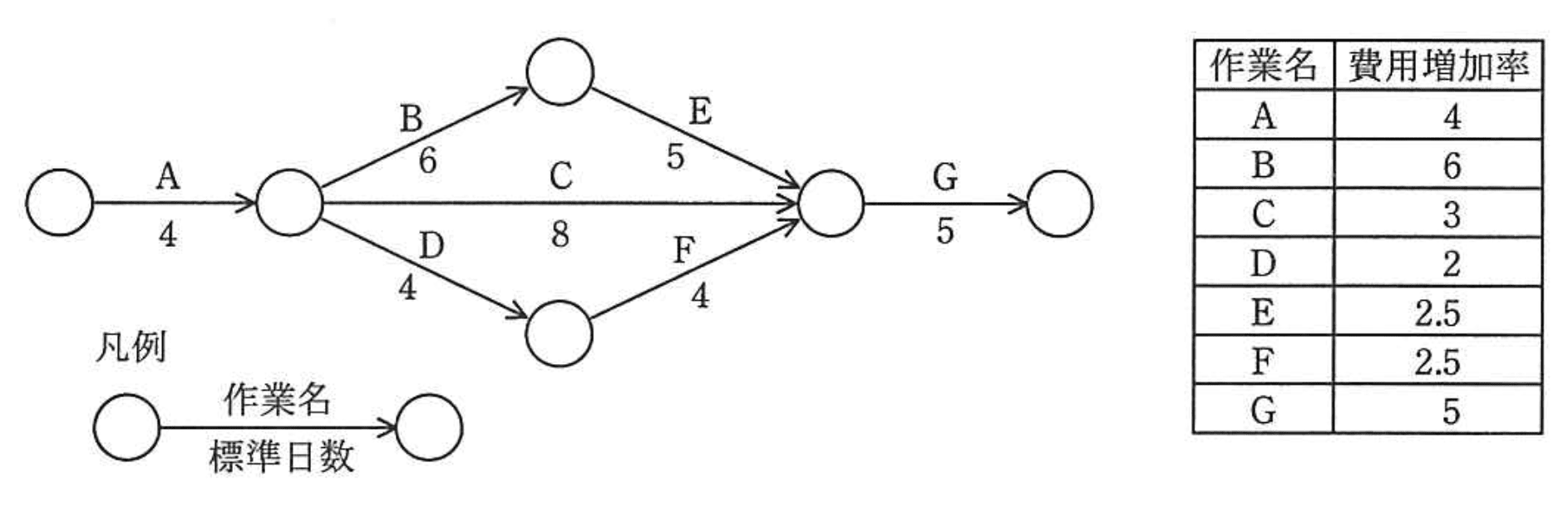
図に示すとおりに作業を実施する予定であったが、作業Aで1日の遅れが生じた。各作業の費用増加率を表の値とするとき、当初の予定日数で終了するためにかかる増加費用を最も少なくするには、どの作業を短縮すべきか。ここで、費用増加率とは、作業を1日短縮するのに要する増加費用のことである。

選択肢
ア:B
イ:C
ウ:D
エ:E(正解)
作業短縮による増加費用の最小化【午前2 解説】
要点まとめ
- 結論:作業Aの遅れを補うために、最も費用増加率が低い作業Eを短縮すべきです。
- 根拠:遅れを取り戻すにはクリティカルパス上の作業を短縮し、費用増加率が最も低い作業を選ぶことがコスト最小化の鍵です。
- 差がつくポイント:クリティカルパスの特定と費用増加率の比較を正確に行い、最適な作業短縮先を判断できるかが重要です。
正解の理由
作業Aで1日遅れが生じたため、全体の工程を当初の予定日数で終わらせるには、クリティカルパス上の他の作業を1日短縮する必要があります。
図の工程からクリティカルパスはA→E→Gであり、これらの作業の費用増加率はそれぞれ4、2.5、5です。
この中で最も費用増加率が低いのは作業E(2.5)であるため、作業Eを1日短縮することが増加費用を最小に抑える方法です。
したがって、正解はエの作業Eです。
図の工程からクリティカルパスはA→E→Gであり、これらの作業の費用増加率はそれぞれ4、2.5、5です。
この中で最も費用増加率が低いのは作業E(2.5)であるため、作業Eを1日短縮することが増加費用を最小に抑える方法です。
したがって、正解はエの作業Eです。
よくある誤解
クリティカルパス以外の作業を短縮しても全体の遅れは解消できません。
また、単に費用増加率が低い作業を選ぶだけでなく、クリティカルパス上の作業であることが必須です。
また、単に費用増加率が低い作業を選ぶだけでなく、クリティカルパス上の作業であることが必須です。
解法ステップ
- 作業Aの遅れが全体の遅れに影響するか確認する(クリティカルパスの確認)。
- クリティカルパス上の作業を特定する。
- クリティカルパス上の作業の費用増加率を表から抽出する。
- 費用増加率が最も低い作業を選び、そこを1日短縮する。
- 選択肢と照合し、最適な作業を決定する。
選択肢別の誤答解説
- ア: B
作業Bはクリティカルパス上にないため、短縮しても遅れ解消に寄与しません。 - イ: C
作業Cもクリティカルパスに含まれておらず、短縮効果がありません。 - ウ: D
作業Dも同様にクリティカルパス外であり、遅れ解消には無効です。 - エ: E
クリティカルパス上で費用増加率が最も低く、遅れ解消に最適です。
補足コラム
クリティカルパス法(CPM)はプロジェクト管理の基本手法で、遅延が全体に影響する作業群を特定します。
費用増加率は短縮コストの指標であり、これを考慮することでコスト効率の良い工程管理が可能です。
遅れを補う際は必ずクリティカルパス上の作業を短縮し、費用増加率を比較して最適解を導きましょう。
費用増加率は短縮コストの指標であり、これを考慮することでコスト効率の良い工程管理が可能です。
遅れを補う際は必ずクリティカルパス上の作業を短縮し、費用増加率を比較して最適解を導きましょう。
FAQ
Q: クリティカルパス以外の作業を短縮しても遅れは解消できますか?
A: いいえ。クリティカルパス以外の作業短縮は全体の遅れ解消にはつながりません。
A: いいえ。クリティカルパス以外の作業短縮は全体の遅れ解消にはつながりません。
Q: 費用増加率が高い作業を短縮するメリットはありますか?
A: 基本的にはありません。費用増加率が低い作業を短縮する方がコストを抑えられます。
A: 基本的にはありません。費用増加率が低い作業を短縮する方がコストを抑えられます。
Q: 複数のクリティカルパスがある場合はどう判断すべきですか?
A: すべてのクリティカルパスを考慮し、最も費用増加率が低い作業を選びます。
A: すべてのクリティカルパスを考慮し、最も費用増加率が低い作業を選びます。
関連キーワード: クリティカルパス、費用増加率、プロジェクト管理、作業短縮、CPM

\ せっかくなら /
応用情報技術者を
クイズ形式で学習しませんか?
クイズ画面へ遷移する→
すぐに利用可能!

