応用情報技術者 2021年 秋期 午前2 問52
問題文
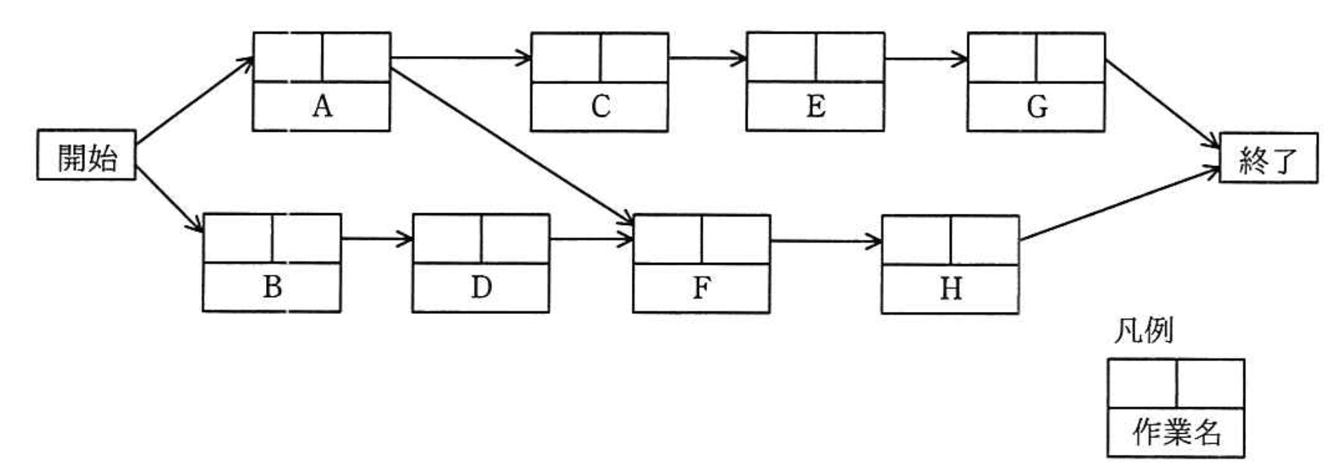
次のプレシデンスダイアグラムで表現されたプロジェクトスケジュールネットワーク図を、アローダイアグラムに書き直したものはどれか。ここで、プレシデンスダイアグラムの依存関係は全てFS関係とする。


選択肢
ア:
イ:(正解)
ウ:
エ:
プレシデンスダイアグラムをアローダイアグラムに変換する問題【午前2 解説】
要点まとめ
- 結論:プレシデンスダイアグラムのFS関係を正確に反映するには、依存関係を示すダミー作業が必要であり、選択肢イが正解です。
- 根拠:アローダイアグラムは作業を矢印で表し、ノードは作業の開始・終了を示すため、複数の依存関係を正確に表現するにはダミー作業が不可欠です。
- 差がつくポイント:ダミー作業の有無と配置を見落とすと、依存関係の表現が不完全となり誤答につながります。
正解の理由
選択肢イは、プレシデンスダイアグラムの全てのFS(Finish to Start)依存関係を正しくアローダイアグラムに反映しています。特に、作業Aから作業Dへの間接的な依存関係を示すために、ダミー作業(破線矢印)を1本追加している点が重要です。これにより、Aの終了がDの開始に影響することを明確に示しています。ダミー作業がないと、依存関係が曖昧になり、スケジュール管理に支障をきたします。
よくある誤解
アローダイアグラムでは全ての依存関係を実線矢印で表せると誤解しがちですが、複雑な依存関係を正確に表現するにはダミー作業が必要です。ダミー作業は実際の作業ではなく、依存関係を示すための補助的な矢印です。
解法ステップ
- プレシデンスダイアグラムの全作業と依存関係を確認する。
- 依存関係がFS(Finish to Start)であることを前提に、作業の開始・終了をノードで表す。
- 作業を矢印で表し、依存関係を矢印のつながりで示す。
- 複数の依存関係が交差する場合、ダミー作業(破線矢印)を用いて依存関係を明確にする。
- すべての依存関係が正しく表現されているか最終確認する。
選択肢別の誤答解説
- ア:ダミー作業がなく、AからDへの依存関係が表現されていません。これにより依存関係が不完全です。
- イ:ダミー作業を1本追加し、全依存関係を正確に表現しているため正解です。
- ウ:ダミー作業が過剰で、必要以上に多くの破線矢印があり冗長で誤りです。
- エ:ダミー作業の位置が誤っており、AからFへの依存関係を示していますが、正しくはAからDへの依存関係を示す必要があります。
補足コラム
アローダイアグラムはプロジェクトマネジメントで用いられるネットワーク図の一種で、作業を矢印で表し、ノードは作業の開始・終了を示します。プレシデンスダイアグラムは作業をノードで表し矢印で依存関係を示すため、両者の変換には依存関係の正確な理解とダミー作業の適切な配置が不可欠です。ダミー作業は実作業ではなく、依存関係の論理的なつながりを表すための補助的な要素です。
FAQ
Q: ダミー作業はなぜ必要ですか?
A: 複数の依存関係が交差する場合に、依存関係を明確に示すために必要です。実際の作業ではなく論理的なつながりを表します。
A: 複数の依存関係が交差する場合に、依存関係を明確に示すために必要です。実際の作業ではなく論理的なつながりを表します。
Q: プレシデンスダイアグラムのFS関係とは何ですか?
A: FS(Finish to Start)関係は、先行作業が完了してから後続作業が開始できる依存関係を指します。
A: FS(Finish to Start)関係は、先行作業が完了してから後続作業が開始できる依存関係を指します。
関連キーワード: プレシデンスダイアグラム、アローダイアグラム、ダミー作業、FS関係、プロジェクトスケジュール、ネットワーク図、依存関係

\ せっかくなら /
応用情報技術者を
クイズ形式で学習しませんか?
クイズ画面へ遷移する→
すぐに利用可能!

