応用情報技術者 2024年 春期 午前2 問52
問題文
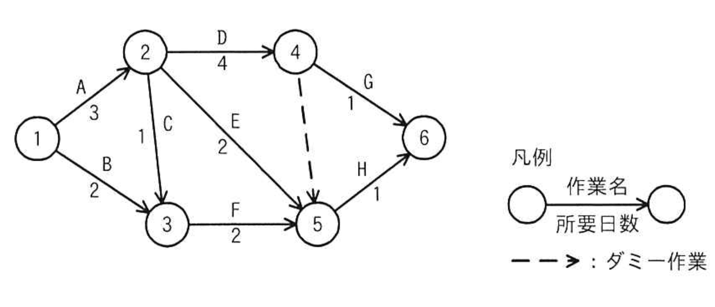
図のアローダイアグラムで表されるプロジェクトがある。結合点5の最早結合点時刻はプロジェクトの開始から第何日か。ここで、プロジェクトの開始日は0日目とする。

選択肢
ア:4
イ:5
ウ:6
エ:7(正解)
アローダイアグラムの結合点5の最早結合点時刻【午前2 解説】
要点まとめ
- 結論:結合点5の最早結合点時刻はプロジェクト開始から7日目です。
- 根拠:結合点5に到達する複数の経路の所要日数を計算し、最長経路(クリティカルパス)を求める必要があります。
- 差がつくポイント:ダミー作業の扱いと複数経路の比較を正確に行い、最長経路を見極めることが重要です。
正解の理由
結合点5に至る経路は複数あります。各経路の所要日数を計算すると、
- 1→2→5:3(A) + 2(E) = 5日
- 1→3→5:2(B) + 2(F) = 4日
- 1→2→3→5:3(A) + 1(C) + 2(F) = 6日
- 1→2→4→5(破線ダミー経路):3(A) + 4(D) + 0(ダミー) = 7日
破線のダミー作業は所要日数0ですが、経路の長さに影響を与えます。最長経路は7日であり、これが最早結合点時刻となるため、正解はエの7日です。
よくある誤解
ダミー作業を無視して経路を短く見積もる誤りが多いです。ダミーは所要日数0でも経路の依存関係を示す重要な要素です。
解法ステップ
- 各作業の所要日数を確認し、経路を洗い出す。
- 結合点5に至る全ての経路を列挙する。
- 各経路の合計所要日数を計算する。
- ダミー作業の所要日数は0だが経路の依存関係を考慮する。
- 最長経路の所要日数を最早結合点時刻とする。
- 最長経路の値を選択肢から選ぶ。
選択肢別の誤答解説
- ア(4日):最短経路の一つである1→3→5の所要日数。最早結合点時刻は最長経路で判断するため誤り。
- イ(5日):1→2→5の経路の所要日数。これも最長経路ではない。
- ウ(6日):1→2→3→5の経路の所要日数。長いが、破線経路の7日に及ばない。
- エ(7日):1→2→4→5の経路で、破線ダミーを含む最長経路の所要日数。正解。
補足コラム
アローダイアグラムはプロジェクト管理で用いられ、作業の順序や依存関係を視覚化します。ダミー作業は依存関係を示すために使われ、所要日数は0ですが経路の計算に影響します。最早結合点時刻はクリティカルパスの長さを示し、プロジェクト全体の最短完了時間の指標となります。
FAQ
Q: ダミー作業の所要日数はなぜ0なのですか?
A: ダミー作業は実際の作業ではなく依存関係を示すための仮想的な作業であり、時間を要しません。
A: ダミー作業は実際の作業ではなく依存関係を示すための仮想的な作業であり、時間を要しません。
Q: 最早結合点時刻と最遅結合点時刻の違いは?
A: 最早結合点時刻は作業開始可能な最も早い時刻、最遅結合点時刻は遅延なく作業を開始できる最も遅い時刻です。
A: 最早結合点時刻は作業開始可能な最も早い時刻、最遅結合点時刻は遅延なく作業を開始できる最も遅い時刻です。
関連キーワード: アローダイアグラム、クリティカルパス、プロジェクト管理、ダミー作業、最早結合点時刻

\ せっかくなら /
応用情報技術者を
クイズ形式で学習しませんか?
クイズ画面へ遷移する→
すぐに利用可能!

