応用情報技術者 2010年 春期 午前2 問52
問題文
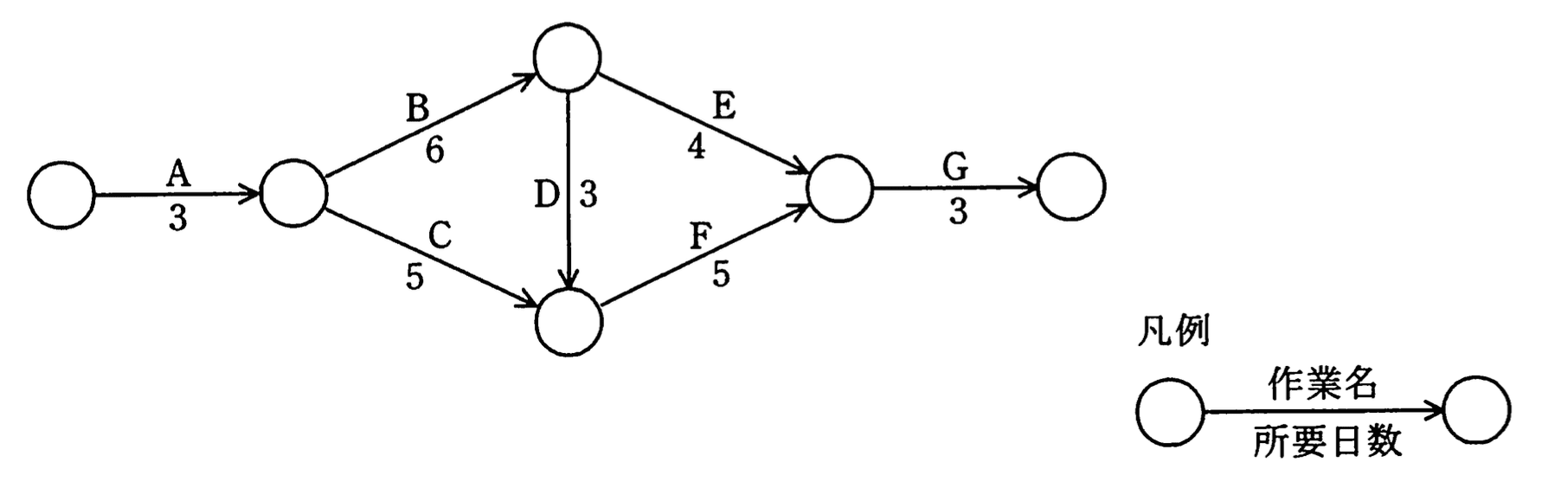
図のプロジェクトを最短の日数で完了したいとき、作業Eの最遅開始日は何日目か。

選択肢
ア:9
イ:12
ウ:13(正解)
エ:17
プロジェクトの最遅開始日計算【午前2 解説】
要点まとめ
- 結論:作業Eの最遅開始日は13日目である。
- 根拠:最遅開始日は最遅終了日から作業所要日数を引いて求め、プロジェクト全体の最短完了日を基準に逆算する。
- 差がつくポイント:経路ごとの所要日数合計を正確に計算し、最長経路(クリティカルパス)を見極めることが重要である。
正解の理由
作業Eはノード2からノード4へ進む作業で、所要日数は4日です。
プロジェクトの最短完了日は17日(クリティカルパスの合計)であり、ノード4の最遅終了日は17日です。
したがって、作業Eの最遅開始日は「17日 − 4日 = 13日」となり、選択肢の中でウが正解です。
プロジェクトの最短完了日は17日(クリティカルパスの合計)であり、ノード4の最遅終了日は17日です。
したがって、作業Eの最遅開始日は「17日 − 4日 = 13日」となり、選択肢の中でウが正解です。
よくある誤解
作業の最遅開始日を単純に最早開始日に合わせてしまう誤りがあります。
また、クリティカルパスを誤認し、最長経路を見落とすことも多いです。
また、クリティカルパスを誤認し、最長経路を見落とすことも多いです。
解法ステップ
- 各作業の所要日数を確認する。
- プロジェクトの最短完了日(クリティカルパスの合計)を求める。
- 終了ノードから逆算し、各ノードの最遅終了日を計算する。
- 作業Eの最遅開始日は「最遅終了日 − 所要日数」で求める。
- 選択肢と照合し、正解を決定する。
選択肢別の誤答解説
- ア: 9日 — これは作業Eの最早開始日や他の経路の計算結果と混同した誤り。
- イ: 12日 — 1日分の計算ミスで、最遅終了日から所要日数を正確に引けていない。
- ウ: 13日 — 正解。最遅開始日の正しい計算結果。
- エ: 17日 — これは最遅終了日であり、開始日としては遅すぎる。
補足コラム
プロジェクトマネジメントにおけるクリティカルパス法(CPM)は、作業の最早開始日・最遅開始日を計算し、遅延が許されない作業を特定する手法です。
最遅開始日を理解することで、リソース配分やスケジュール調整が効率的に行えます。
最遅開始日を理解することで、リソース配分やスケジュール調整が効率的に行えます。
FAQ
Q: 最遅開始日と最早開始日の違いは何ですか?
A: 最早開始日は作業を遅延なく始められる最も早い日、最遅開始日はプロジェクト全体の遅延を防ぐために遅く始められる最も遅い日です。
A: 最早開始日は作業を遅延なく始められる最も早い日、最遅開始日はプロジェクト全体の遅延を防ぐために遅く始められる最も遅い日です。
Q: クリティカルパスとは何ですか?
A: プロジェクトの最短完了日を決定する最長経路で、遅延が許されない作業の連続です。
A: プロジェクトの最短完了日を決定する最長経路で、遅延が許されない作業の連続です。
関連キーワード: クリティカルパス、最遅開始日、プロジェクト管理、CPM, スケジュール計算

\ せっかくなら /
応用情報技術者を
クイズ形式で学習しませんか?
クイズ画面へ遷移する→
すぐに利用可能!

