応用情報技術者 2011年 春期 午前2 問51
問題文
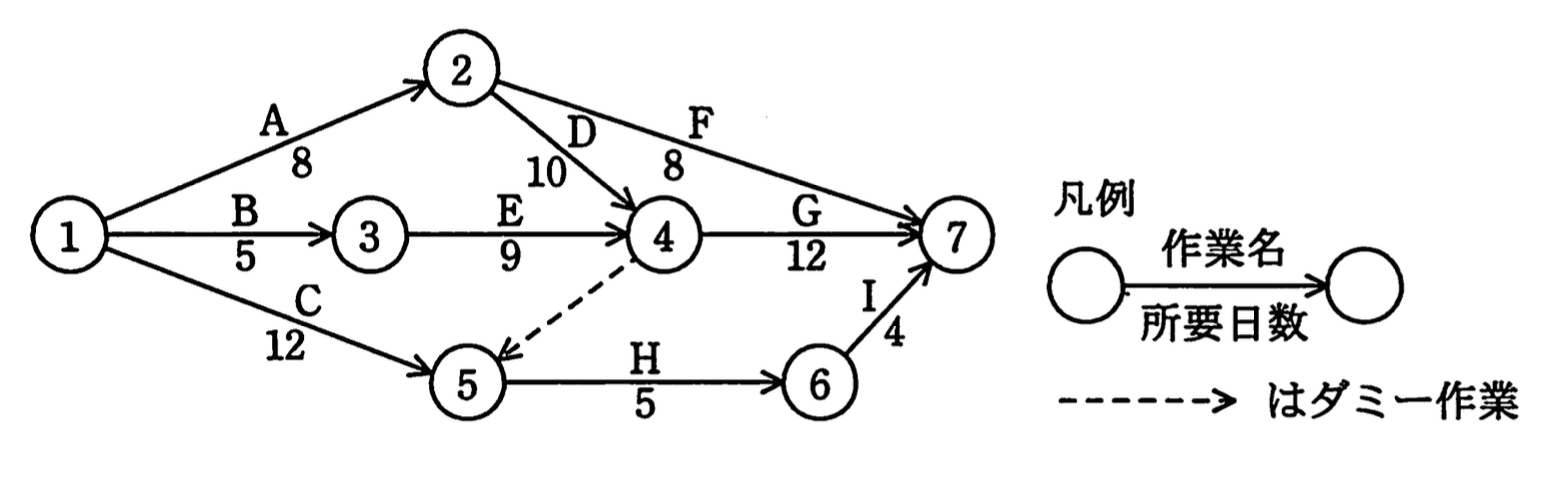
あるプロジェクトの作業が図に従って計画されているとき、最短日数で終了するためには、結合点⑤はプロジェクトの開始から遅くとも何日後に通過していなければならないか。

選択肢
ア:12
イ:14
ウ:18
エ:21(正解)
プロジェクトネットワーク図における結合点⑤の最遅通過時間【午前2 解説】
要点まとめ
- 結論:結合点⑤はプロジェクト開始から遅くとも21日後に通過しなければ最短日数で終了できません。
- 根拠:⑤までの最長経路(クリティカルパス)を求めることで、⑤の最遅通過時間が判明します。
- 差がつくポイント:ダミー作業の役割理解と複数経路の比較で正確なクリティカルパスを見極めることが重要です。
正解の理由
結合点⑤に至る経路は複数ありますが、最短日数でプロジェクトを完了するためには、⑤を通過する最遅時間は最長経路の所要時間に等しくなります。
ノード1から⑤への作業Cは12日、⑤から⑥へのHは5日、⑥から⑦へのIは4日で合計21日です。
他の経路はこれより短いため、⑤の最遅通過時間は21日となり、選択肢の中ではエが正解です。
ノード1から⑤への作業Cは12日、⑤から⑥へのHは5日、⑥から⑦へのIは4日で合計21日です。
他の経路はこれより短いため、⑤の最遅通過時間は21日となり、選択肢の中ではエが正解です。
よくある誤解
ダミー作業を無視して経路を単純に足し合わせると誤った最遅通過時間を導きやすいです。
また、最短経路ではなく最長経路を求めることを忘れがちです。
また、最短経路ではなく最長経路を求めることを忘れがちです。
解法ステップ
- 各ノード間の作業日数を確認し、経路を洗い出す。
- ダミー作業の意味を理解し、経路の依存関係を正確に把握する。
- ノード1から⑤までの全経路の所要日数を計算する。
- 最長経路(クリティカルパス)を特定し、その所要日数を⑤の最遅通過時間とする。
- 選択肢と照合し、最も適切な数値を選ぶ。
選択肢別の誤答解説
- ア(12日):作業Cの所要日数のみで、⑤までの全経路を考慮していません。
- イ(14日):経路の一部のみを合計した誤り。
- ウ(18日):他経路の合計であり、最長経路ではありません。
- エ(21日):正しく最長経路を計算した結果で、⑤の最遅通過時間に一致します。
補足コラム
ダミー作業はネットワーク図で依存関係を表現するために用いられ、所要日数は0日です。
クリティカルパス法(CPM)では、最長経路の所要時間がプロジェクト全体の最短完了時間となります。
結合点の最遅通過時間は、遅延が許される最大時間を示し、スケジュール管理に不可欠です。
クリティカルパス法(CPM)では、最長経路の所要時間がプロジェクト全体の最短完了時間となります。
結合点の最遅通過時間は、遅延が許される最大時間を示し、スケジュール管理に不可欠です。
FAQ
Q: ダミー作業はなぜ必要ですか?
A: 複数の作業の依存関係を正確に表現し、誤った経路計算を防ぐために用います。
A: 複数の作業の依存関係を正確に表現し、誤った経路計算を防ぐために用います。
Q: 最遅通過時間と最早通過時間はどう違いますか?
A: 最早通過時間は作業開始の最短可能時間、最遅通過時間は遅延許容限度を示します。
A: 最早通過時間は作業開始の最短可能時間、最遅通過時間は遅延許容限度を示します。
関連キーワード: クリティカルパス、ネットワーク図、ダミー作業、最遅通過時間、プロジェクト管理

\ せっかくなら /
応用情報技術者を
クイズ形式で学習しませんか?
クイズ画面へ遷移する→
すぐに利用可能!

