応用情報技術者 2014年 秋期 午前2 問20
問題文
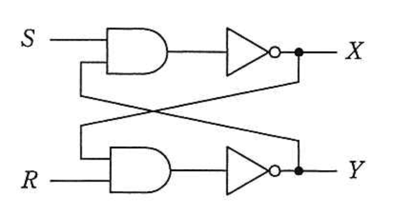
図の論理回路において、S = 1, R = 1, X = 0, Y =1のとき、S を一旦 0 にした後、再び1に戻した。この操作を行った後のX,Yの値はどれか。S R Y

選択肢
ア:X=0, Y=0
イ:X=0, Y=1
ウ:X=1, Y=0(正解)
エ:X=1, Y=1
図の論理回路において、S = 1, R = 1, X = 0, Y =1のとき、S を一旦 0 にした後、再び1に戻した。この操作を行った後のX,Yの値はどれか【午前2 解説】
要点まとめ
- 結論:操作後のXは1、Yは0となる。ウが正解です。
- 根拠:この回路はSRフリップフロップの基本構成で、S=R=1の状態からSを0にしてリセットし、再度S=1に戻すことでX,Yの状態が変化します。
- 差がつくポイント:フィードバックループの動作理解と、S,Rの入力変化による状態遷移を正確に追えるかが鍵です。
正解の理由
この論理回路はSRフリップフロップの構成で、SとRが両方1の状態は禁止状態ですが、初期状態X=0、Y=1からSを0にするとリセット状態となり、X=0、Y=1が維持されます。次にSを1に戻すと、セット状態となりX=1、Y=0に変化します。したがって、操作後の状態はX=1、Y=0であり、選択肢の中ではウが正解です。
よくある誤解
S=R=1の状態は禁止状態とされるため、そのままの状態が維持されると誤解しやすいです。実際は入力変化により状態が変わるため、フィードバックの動きを正確に理解する必要があります。
解法ステップ
- 初期状態を確認する(S=1, R=1, X=0, Y=1)。
- Sを0に変更し、回路の動作を追う(リセット状態)。
- フィードバックによりX,Yの値がどう変わるかを確認する。
- Sを再び1に戻し、セット状態に遷移することを理解する。
- 最終的なX,Yの値を導き出す。
選択肢別の誤答解説
- ア: X=0, Y=0
→ Yが0になるのは誤り。初期状態や操作後のフィードバックから考えてY=1か0のどちらかで、X=0,Y=0はありえません。 - イ: X=0, Y=1
→ 初期状態のまま変化しないと誤解した場合の選択肢。Sを0にしてから1に戻す操作で状態は変わります。 - ウ: X=1, Y=0
→ 正解。セット状態に遷移し、Xが1、Yが0となります。 - エ: X=1, Y=1
→ XとYが同時に1になることはSRフリップフロップの基本動作では起こりません。
補足コラム
SRフリップフロップは基本的な記憶素子で、S(セット)とR(リセット)の入力により状態を保持・変更します。S=R=1は禁止状態であり、通常は避けるべきですが、入力の変化により状態が変わることを理解することが重要です。フィードバックループが状態の安定性を保つ役割を果たしています。
FAQ
Q: なぜS=R=1は禁止状態なのですか?
A: S=R=1のとき、SRフリップフロップは不定状態となり、出力が不安定になるため禁止されています。
A: S=R=1のとき、SRフリップフロップは不定状態となり、出力が不安定になるため禁止されています。
Q: フィードバック線は何の役割を果たしていますか?
A: 出力を入力に戻すことで状態を保持し、回路の記憶機能を実現しています。
A: 出力を入力に戻すことで状態を保持し、回路の記憶機能を実現しています。
Q: Sを0にした後に1に戻す操作は何を意味しますか?
A: 一旦リセット状態にしてからセット状態に戻すことで、出力の状態を変化させる操作です。
A: 一旦リセット状態にしてからセット状態に戻すことで、出力の状態を変化させる操作です。
関連キーワード: SRフリップフロップ、論理回路、フィードバック、記憶素子、状態遷移

\ せっかくなら /
応用情報技術者を
クイズ形式で学習しませんか?
クイズ画面へ遷移する→
すぐに利用可能!

