応用情報技術者 2015年 秋期 午前2 問53
問題文
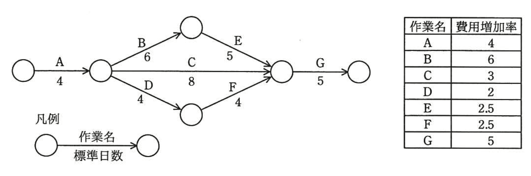
図に示すとおりに作業を実施する予定であったが、作業Aで1日の遅れが生じた。各作業の費用増加率を表の値とするとき、当初の予定日数で終了するために掛かる増加費用を最も少なくするには、どの作業を短縮すべきか。ここで、費用増加率とは、作業を1日短縮するために要する増加費用のことである。

選択肢
ア:B
イ:C
ウ:D
エ:E(正解)
作業短縮による増加費用最小化【午前2 解説】
要点まとめ
- 結論:作業Aの遅れを補うため、作業Eを短縮すると増加費用が最も少なくなる。
- 根拠:クリティカルパス上の作業で遅れを補う必要があり、費用増加率が低い作業を選ぶのがコスト最小化のポイント。
- 差がつくポイント:クリティカルパスの特定と費用増加率の比較を正確に行い、最適な短縮作業を選ぶ能力が問われる。
正解の理由
作業Aで1日の遅れが生じたため、当初の予定日数で終了するにはクリティカルパス上の作業を短縮する必要があります。
図の作業日数からクリティカルパスを特定すると、A→B→E→Gの経路が最長で遅れの影響を受けます。
この経路上の作業の費用増加率は、Bが6、Eが2.5、Gが5です。
最も費用増加率が低い作業Eを1日短縮することで、増加費用を最小限に抑えられます。
したがって、正解はエのEです。
図の作業日数からクリティカルパスを特定すると、A→B→E→Gの経路が最長で遅れの影響を受けます。
この経路上の作業の費用増加率は、Bが6、Eが2.5、Gが5です。
最も費用増加率が低い作業Eを1日短縮することで、増加費用を最小限に抑えられます。
したがって、正解はエのEです。
よくある誤解
クリティカルパス以外の作業を短縮しても遅れを補えないため、費用が安くても意味がありません。
また、単に費用増加率が低い作業を選ぶだけでなく、遅れを補える作業かどうかの判断が重要です。
また、単に費用増加率が低い作業を選ぶだけでなく、遅れを補える作業かどうかの判断が重要です。
解法ステップ
- 各作業の標準日数を確認し、作業の流れを把握する。
- すべての経路の合計日数を計算し、最長経路(クリティカルパス)を特定する。
- 作業Aで1日の遅れが生じたため、クリティカルパス上の作業を1日短縮して遅れを補う必要があると判断する。
- クリティカルパス上の作業の費用増加率を比較し、最も低いものを選ぶ。
- その作業を短縮することで増加費用を最小化できると結論づける。
選択肢別の誤答解説
- ア: B
クリティカルパス上の作業だが、費用増加率が6と高く、コストが大きくなる。 - イ: C
Cはクリティカルパス上にないため、短縮しても遅れを補えない。 - ウ: D
Dもクリティカルパス上にないため、遅れ補正には無効。 - エ: E
クリティカルパス上で費用増加率が低く、最適な短縮対象。
補足コラム
クリティカルパス法(CPM)はプロジェクト管理で遅延対策に不可欠な手法です。
遅れを補うための作業短縮は、費用増加率を考慮し最適化することが重要です。
費用増加率は「クラッシュコスト」とも呼ばれ、短縮日数あたりの追加コストを示します。
遅れを補うための作業短縮は、費用増加率を考慮し最適化することが重要です。
費用増加率は「クラッシュコスト」とも呼ばれ、短縮日数あたりの追加コストを示します。
FAQ
Q: クリティカルパス以外の作業を短縮しても意味がないのはなぜですか?
A: クリティカルパス以外の作業は遅延に影響しないため、短縮しても全体の遅れを補えません。
A: クリティカルパス以外の作業は遅延に影響しないため、短縮しても全体の遅れを補えません。
Q: 費用増加率が低い作業を選べば必ず最適ですか?
A: いいえ、遅れを補えるクリティカルパス上の作業であることが前提です。
A: いいえ、遅れを補えるクリティカルパス上の作業であることが前提です。
関連キーワード: クリティカルパス、作業短縮、費用増加率、プロジェクト管理、遅延補正

\ せっかくなら /
応用情報技術者を
クイズ形式で学習しませんか?
クイズ画面へ遷移する→
すぐに利用可能!

